Hydrocycolone is widely applied in industries such as nonmetallic mining, kaolin, ore dressing, petroleum, chemical, coal washing, paper making, sewage treatment for clarification, concentration and classification, desliming, dewatering, sorting, separation, etc. It is highly efficient and energy saving. This type of equipment gradually replaces spiral classifiers.
Product Introduction
Hydrocyclone is also called cyclone, it’s a common grading equipment, which is mostly used in the second stage of closed-circuit grinding. It is with no moving parts, and it uses the principle of centrifugal sedimentation to separate and remove the heavier coarse particles of sand and other substances in the sewage. Sometimes it is also used for mud dewatering. It is widely used in industrial production enterprises such as mines, thermal power plants, and coal preparation plants.
Hydrocyclones are mainly used in ore dressing:
① Dense medium cyclones are common heavy medium separation equipment.
②As a classification equipment in the grinding circuit, especially as a classification equipment for fine grinding.
③ Desliming and thickening the pulp.
Hydrocyclones are often made of circular cylindrical structures or metal pipes. There are mainly hydrocyclones and hydrocyclones groups.
Structure
Cyclones is composite of 4 main sections: feed chamber, cone body, underflow and overflow.
The upper part of the hydrocyclone is a hollow cylinder, the lower part is an inverted cone communicating with the cylinder. The two form the working simplified part(cone body) of the hydrocyclone. The upper end of the cylindrical cylinder is tangentially provided with a feeding pipe, and the top is provided with an overflow pipe and an overflow conduit. There is a grit chamber at the bottom of the conical cylinder, it’s the underflow.
Each part is connected by flange and screw. Feeding mouth, barrel and grit chamber are usually lined with polyurethane, ceramic, silicon carbide or diabase cast stone to reduce wear and replace after wear.
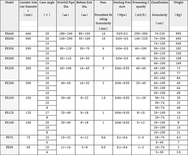
Parameters
Working Principle
The operating principle of the hydrocyclone is the strong centrifugal force is used to separate the mixture at high speed. The classical static hydrocyclone uses the external pressure to push the feed mixture into the hydrocyclone at a higher speed. Because the mixture moves along the tangential direction of the hydrocyclone, it will promote the liquid to rotate along the cylinder wall, which is generally called external swirling flow. If the density of the particles in the external cyclone is greater than that of the surrounding liquid, the centrifugal force will be greater and greater. Once the centrifugal force is greater than the liquid resistance caused by the movement, the particles will overcome this resistance and move towards the wall of the cyclone, separating from the surrounding liquid. The particles near the wall of the cyclone will be pushed by the liquid above the cyclone. It moves downward along the vessel wall and reaches the underflow port, where it becomes a suspension with high consistency and is discharged from the underflow port. After separation, the liquid rotates downward and continues to move. After entering the conical section, because the inner diameter of the separator is gradually reduced, the liquid rotation speed is accelerated. Due to the uneven pressure distribution along the radial direction of the liquid vortex, the closer to the axis, the smaller the place. The closer to zero when it comes to the axis, which becomes a low-pressure area or even a vacuum area, resulting in the liquid moving towards the axis. At the same time, the liquid can not be discharged quickly from the underflow port because of the underflow port is greatly reduced. And the overflow port is in the low pressure area. It makes a part of the liquid form an upward rotation movement and move towards the overflow port, then the liquid discharging from the overflow port. Therefore, the separation is achieved.
Advantages and Features
Simple structure, light and flexible, no moving parts;
Low equipment cost, easy assembly and disassembly, convenient maintenance;
Small floor area and low capital construction cost;
The treatment capacity per unit volume is large;
The size of grading is fine, up to 10 μ It is about 5 m;
The classification efficiency is high, sometimes as high as 80%;
The amount and time of slurry remaining in hydrocyclone are less, and it is easy to deal with when it is shut down;
The small fluctuation of feed concentration, particle size, viscosity and pressure has a great influence on the working index, so the corresponding automatic control device can be configured.


